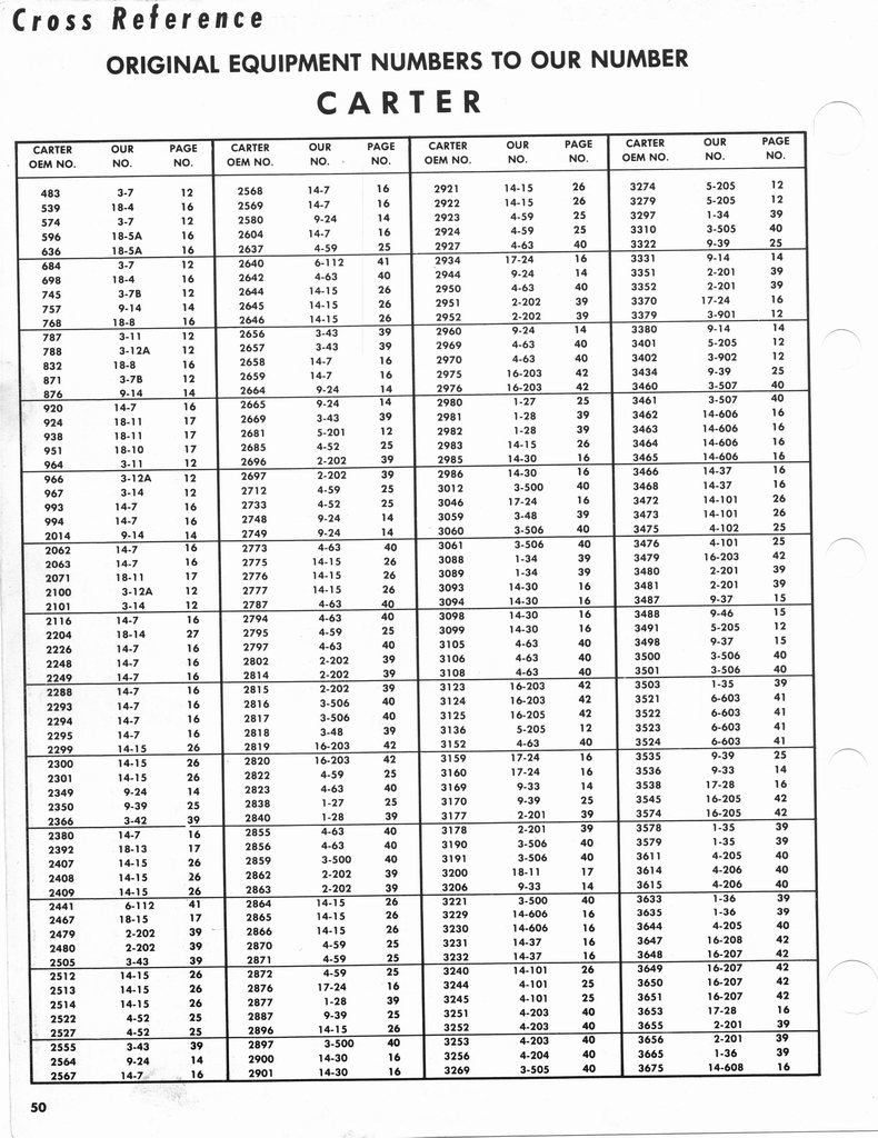
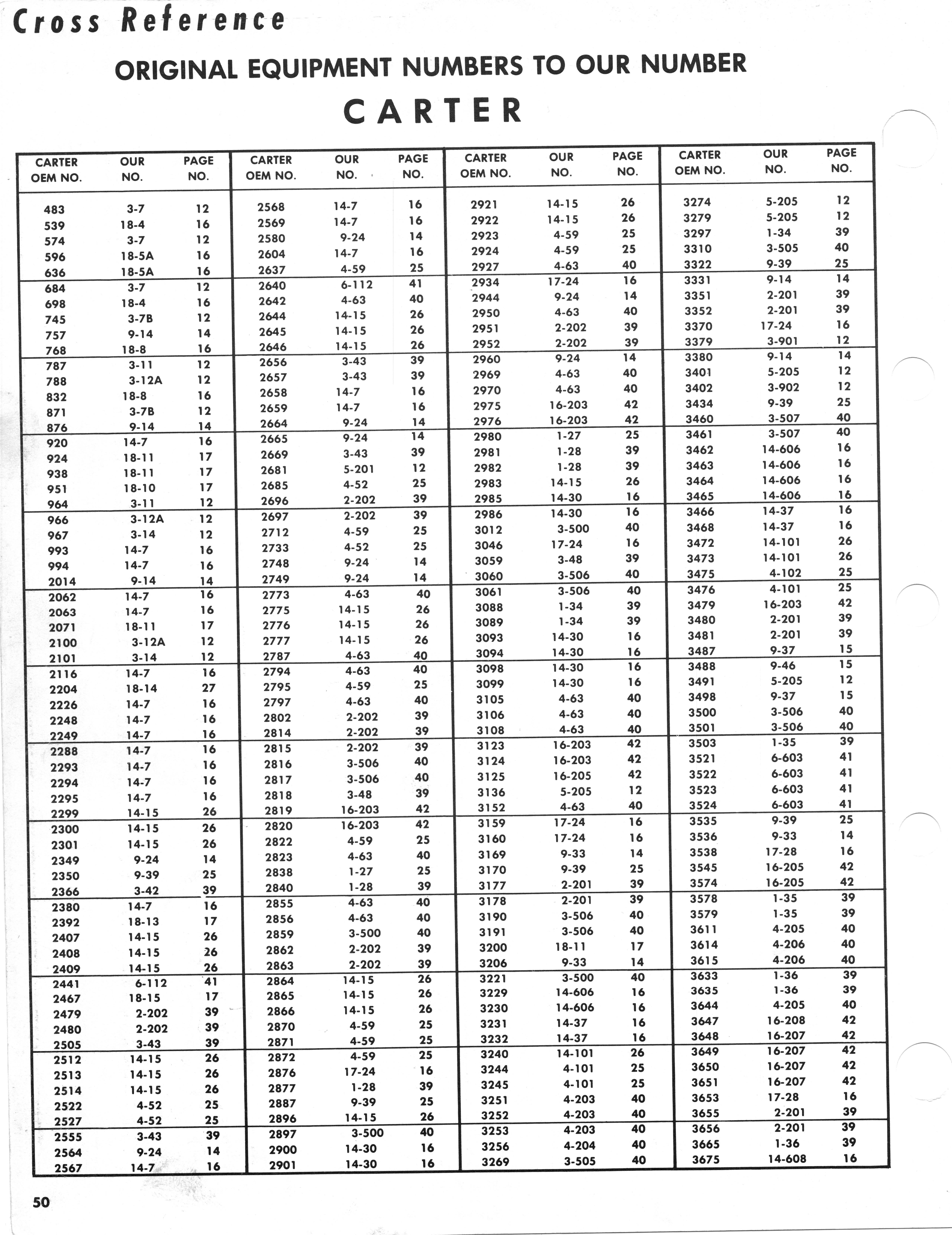
Updated October 18, 2020

Carburetor IDGuide 3[2]

View this image in original size