Updated October 18, 2020

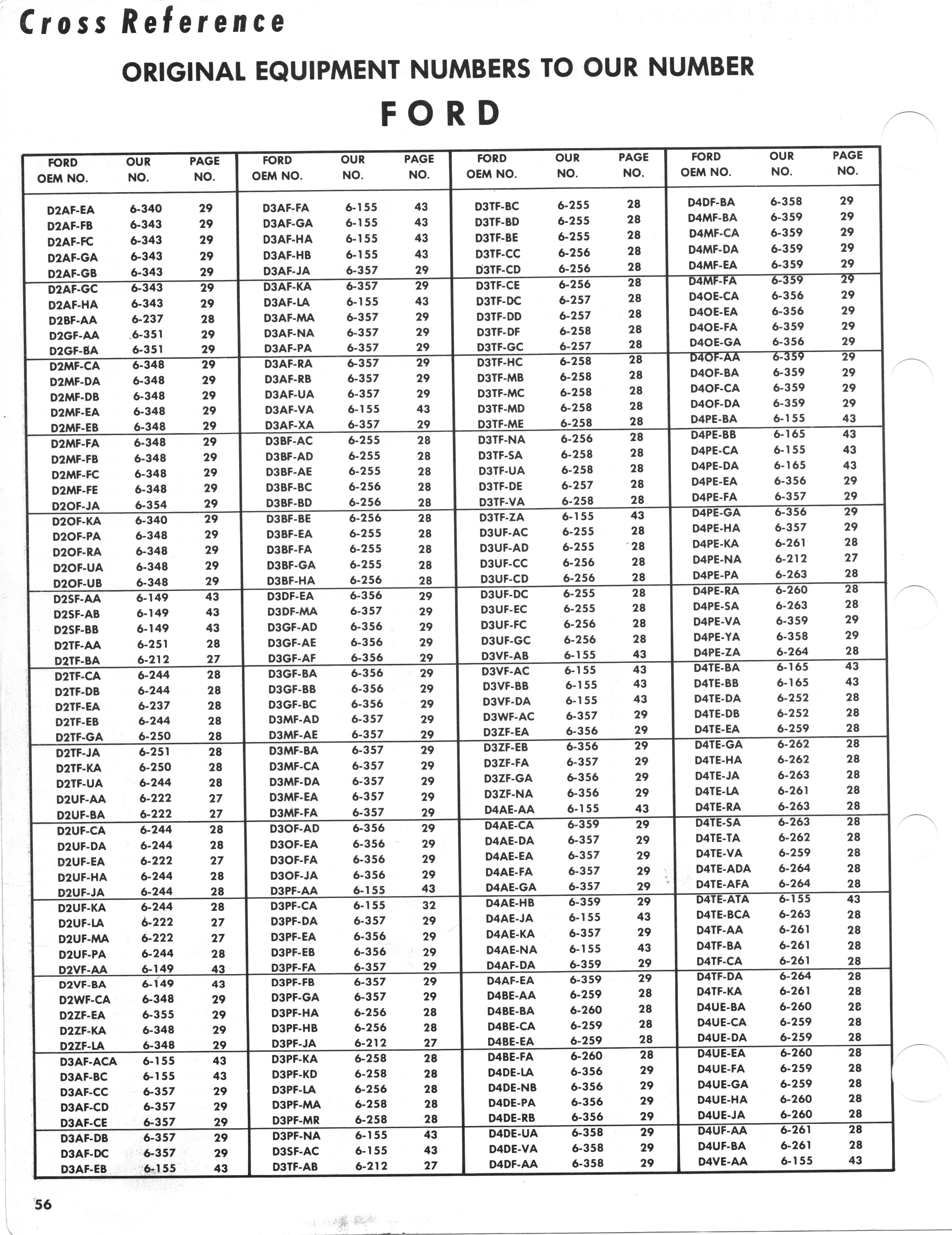
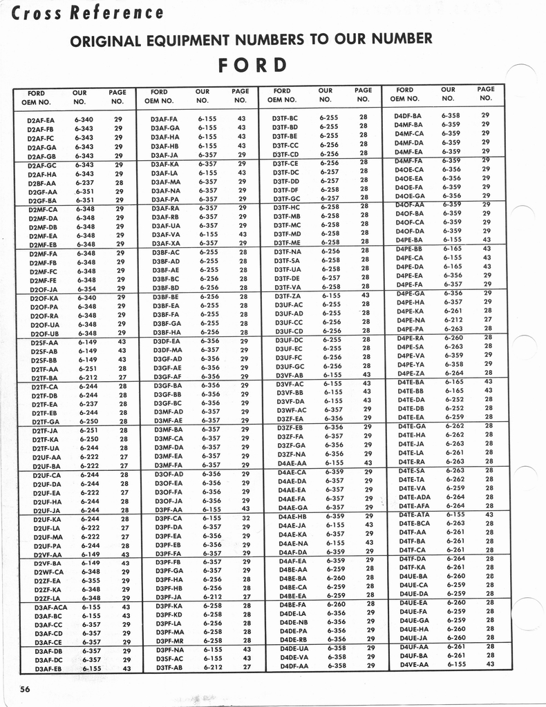
Carburetor IDGuide 3[8]

View this image in original size